Ellipse Formulas

 

Home
Up

Ellipse: Standard Form

 

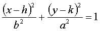
Horizontal:

a2 > b2

If the larger denominator is under the "x" term, then the ellipse is horizontal.

center (h, k)

a = length of semi-major axis

b = length of semi-minor axis

vertices: (h + a, k), (h - a, k)

co-vertices: (h, k + b), (h, k - b) [endpoints of the minor axis]

c is the distance from the center to each focus.

foci: (h + c, k), (h - c, k)

 

0 < e < 1 for an ellipse

 

 

 

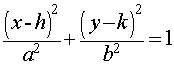
Vertical:

a2 > b2

If the larger denominator is under the "y" term, then the ellipse is vertical.

center (h, k)

a = length of semi-major axis

b = length of semi-minor axis

vertices: (h, k + a), (h, k - a)

co-vertices: (h + b, k), (h - b, k) [endpoints of the minor axis]

c is the distance from the center to each focus.

foci: (h, k + c), (h, k - c)

 

0 < e < 1 for an ellipse

 

 

 

 

 

 

Ax˛ + By˛ + Cx + Dy + E = 0

1) A & B have the same sign (both positive or both negative)

2) A & B are different numbers (if they were the same, this would be a circle).

 

 

Back to Mr. Dave Clausen's Homepage